In mei 2012 dook voor het eerst een foto op waarop Jan Jambon te zien was op een spreekbeurt van Jean-Marie Le Pen in 1996 in Antwerpen. Zijn verdediging luidde toen: ‘Je kan uit die tijd ook foto’s vinden van mij met Kris Merckx (PVDA)’. Als kersvers minister van Binnenlandse Zaken werd Jambon in oktober in de Franstalige media opnieuw over die foto met Le Pen geïnterpelleerd. Weer bracht hij mij ter sprake, zij het in een andere versie: “Ik ben gewoon gaan luisteren naar mijnheer Le Pen in een Antwerpse debatclub waar ik enkele maanden daarvoor ook naar Kris Merckx van de PTB (PVDA) ben gaan luisteren.” Ik was zeker dat ik nooit gesproken had voor de extreemrechtse Vlaams-Nationale Debatklub (VNDK) waarop Jambon doelde. Om de leugen van Jambon zwart op wit te kunnen bewijzen ging ik op zoek naar documenten van de VNDK. Het leverde materiaal op voor dossiers van de antifascistische sites Résistances en AFF/Verzet. Die bewezen hoe de vicepremier tot twee maal toe flagrant gelogen heeft om zijn verleden en lidmaatschap bij extreemrechts te verbergen. Op vraag van velen bundel ik hier alle relevante documenten en foto’s die ik, en anderen, verzamelden over wat nu al bestempeld wordt als ‘Jambongate’. Op die wijze kan je ze integraal vinden in één artikel op het net. Gewoon de documenten en foto’s aanklikken en bekijken volstaat om het verhaal te vatten. Wie nog meer uitleg wil verwijs ik tussendoor naar de goed gedocumenteerde dossiers van RésistanceS en AFF/Verzet.
Welke documenten kan je hier vinden?
We starten we met een kort overzicht van de foto’s en facsimile’s van documenten die je hieronder kan vinden over Jambongate en de VNDK. Ziehier het lijstje, in de chronologische volgorde waarin we ze ook publiceren:
1) De foto van Jambon op de spreekbeurt van Le Pen in 1996, aangevuld met foto’s die bewijzen dat beiden, na afloop, samen aan de eretafel zaten.
2) Bewijzen dat de VNDK in 1980 is opgericht door de in 1946 bij verstek ter dood veroordeelde topcollaborateur Jan Brans (tot 1969 in ballingschap in Spanje) en andere tenoren van het Vlaams Blok zoals Marijke Dillen.
3) De lijst van sprekers voor de VNDK in de periode 1980-1990 met o.a. VMO-leider Bert Eriksson, Karel Dillen en nog heel wat andere figuren met een zwart verleden en/of fascistisch gedachtengoed.
4) Een verslag van een spreekbeurt over de VMO vol loftuitingen over deze extreemrechtse knokploeg.
5) De drie documenten die Jambon de das omdeden. Ze bewijzen dat hij minstens vanaf 1994 en tot eind 2000 bestuurslid was van de aan het Vlaams Blok gelieerde Vlaams-Nationale Debatklub (VNDK).
6) De uitnodiging voor een VNDK-conferentie, ‘met strikt privé-karakter’ en op een geheime locatie, van de Britse historicus David Irving, die bij herhaling veroordeeld is voor negationisme en neonazisme. Datum: januari 1998, in volle bestuurdersperiode van Jambon .
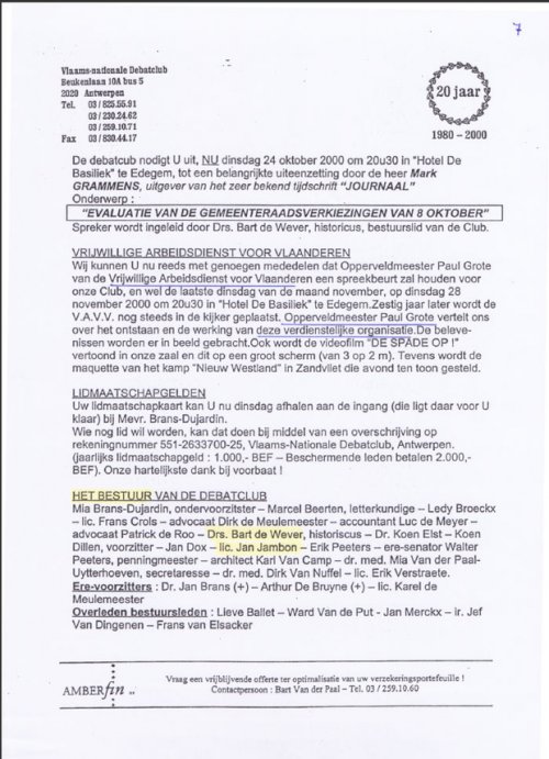
7) Een document van oktober 2000 dat ook drs. Bart De Wever vermeldt als bestuurslid.
Je kan de afbeeldingen van deze documenten en de foto’s vergroten door er op te klikken.
De foto waarmee het begon

Jan Jambon tijdens een spreekbeurt van Jean-Marie Le Pen voor de extreemrechtse Vlaams-Nationale Debatklub in Antwerpen (1996). Niet zo maar gewoon als toehoorder…
Deze foto is genomen in april 1996 in de Salons De Boek in Antwerpen toen de Franse extreemrechtse politicus Jean-Marie Le Pen er een spreekbeurt hield op uitnodiging van de Vlaams-Nationale Debatklub. De foto dook voor het eerst op in de pers in mei 2012.
De eerste die Jambon, in mei 2012, om uitleg vroeg over zijn aanwezigheid op de conferentie van Le Pen was Joods Actueel. Ondanks de pro-Israël-houding van N-VA en de goede banden van Jambon met de grote diamantairs, was die foto met Le Pen er voor het zionistische tijdschrift toch te veel aan. Tenslotte blijft Le Pen de fascist die ‘de gaskamers een detail in de geschiedenis’ noemde. Jambon maakte er zich zo vanaf: “Ja, ik ben toen naar Le Pen gaan luisteren. Maar het is toch niet omdat je naar iemand gaat luisteren dat je ook instemt met zijn ideeën. Foto’s uit die tijd kan je van mij ook vinden met Kris Merckx (PVDA), was ik dan een stalinist?” (Joods Actueel, mei 2012).
In de jaren 80 ben ik als nationaal woordvoerder van de PVDA op heel veel plaatsen gaan spreken. Onder meer ook eens voor het KVHV-Antwerpen. Dat was dan wel om, samen met Ludo Dierickx van Agalev, onze gezamenlijke ‘Oproep tot Vlaams-Waalse solidariteit’ te gaan verdedigen… tégen de toenmalige Volksuniesenator (later N-VA), wijlen Walter Luyten. Ik sloot niet uit dat er toen een foto genomen was waar Jambon misschien op stond, maar vond het toen niet de moeite om dat uit te spitten. Overigens heeft Jambon tot op heden nog nooit zo’n foto kunnen tonen.
In oktober 2014, toen hij minister geworden was, kwam Jambon met een ander verhaal over Le Pen en mij. Toen verklaarde hij zowel in La Libre Belgique als op RTL-tvi: ‘Ik ben in een Antwerpse debatclub gaan luisteren naar een mijnheer Le Pen zoals ik daar, enkele maanden voordien, was gaan luisteren naar Kris Merckx van de PVDA.” Zijn volledige verklaring vind je in het artikel ‘Nouveau délit de mensonge du ministre Jambon’ en, vertaald en ingekort, in het artikel ‘Zaak Le Pen: Jambon alweer betrapt op leugen’. Die dubbele leugen, en nog wel van een vicepremier, was er voor mij te veel aan. Op een vroege ochtend kon ik, in het officieel gesubsidieerde ‘Archief en Documentatiecentrum van het Vlaams-Nationalisme ‘ (ADCVN), een deel van de archieven van de in 1980 opgerichte Vlaams-Nationale Debatklub (VNDK) inkijken en kopiëren. Van de periode 1980-90 kreeg ik een vrij volledig dossier in handen, van de periode 1990-2000 slechts enkele documenten en van de periode daarna (tot 2010) helemaal niets.
Hier dan de voornaamste resultaten van die speurtocht.
VNDK gesticht door Jan Brans, hoofdredacteur van collaboratiekrant ‘Volk en Staat’

Het tijdschrift van de VNDK meldt in oktober 1986 het overlijden van dr. Jan Brans. Deze in 1946 bij verstek ter dood veroordeelde leider van de Vlaamse nazi’s richtte, na zijn terugkeer uit ballingschap in Spanje, in 1980 de debatclub op.
De advocaat ‘Dr. jur. Jan Brans’ – zoals de VNDK-documenten hem meestal noemen – was een notoire collaborateur met de nazi’s en een antisemiet. Tijdens de bezetting was hij hoofdredacteur van ‘Volk en Staat’, het dagblad van het Vlaams Nationaal Verbond (VNV) dat de nazibezetters ten volle steunde. Op het einde van de oorlog vluchtte Jan Brans, net als Degrelle, naar het Spanje van Franco. Daar hield hij zich schuil tot in 1969 om te ontsnappen aan executie– hij was kort na de oorlog bij verstek ter dood veroordeeld. Na zijn terugkeer in België werd hij de eerste hoofdredacteur van het partijblad van het Vlaams Blok en stichtte hij in 1980 ook de Vlaams-Nationale Debatklub . Uitvoerige informatie info over Jan Brans vind je in dit artikel ‘Jan Brans: oprichter en erevoorzitter van de Vlaams-Nationale Debatklub’.

Uit het ledenblad van VNDK van oktober 1986. Van bij de aanvang domineerde het Vlaams Blok het bestuur: met Jan Brans maar ook met Marijke Dillen, Hans Carpels en Arthur de Bruyne (hoofdredacteur van ’t Pallieterke).
Vooral tribune voor topcollaborateurs, Blokkers en… Bert Eriksson

De lijst van sprekers uit de eerste tien jaren van de VNDK (1980-1990). Naast oud-topcollaborateurs (Brans, Ward Hermans, Leo Poppe) bemerken we zowel Bob Maes (van de tot ontbinding veroordeelde ‘eerste’ VMO) als… Bert Eriksson – ‘Ja ik ben een nazi’ – van de na 1970 heropgerichte ‘tweede’ VMO. Verder een rits Vlaams Blok-tenoren, zoals stichter Karel Dillen, Filip De Winter, Annemans … De uitnodiging van sprekers met een gewoner of soms zelfs wat progressief profiel dienden om de het extreemrechts karakter van de club te camoufleren en de VNDK meer aanvaardbaar te maken.

Geëxalteerd verslag over de ‘schitterend geslaagde en zeer ontroerende’ VNDK-spreekbeurt van Bob Maes en Wim Verreycken (VB-senator) over de geschiedenis van de Vlaamse Militanten Orde (mei 1989).
Leugen 1 van Jambon bewezen: niet als toehoorder maar als bestuurslid naast Le Pen

Een van de uitnodigingen voor VNDK-causerieën uit de periode 1994-2000 waarbij Jan Jambon systematisch voorkomt in de lijst van bestuurders. Deze dateert van november 1995, een half jaar vóór het VNDK-bestuur Jean-Marie Le Pen uitnodigt.
Opmerkelijk aan bovenstaande uitnodiging en typisch voor de kerninteresses van de VNDK: de gastspreker is de Parijse advocaat die Pierre Laval op zijn proces na de oorlog verdedigde. Laval was eerste minister van Frankrijk onder het regime van maarschalk Pétain, die met de nazibezetters collaboreerde. Laval werd hiervoor ter dood veroordeeld en in oktober 1945 terechtgesteld.

Vanaf 1994 figureert Jan Jambon aan de zijde van VNDK-voorzitter en Vlaams-Blokker Koen Dillen (zoon van…) in de lijst van bestuurders. In 1991 trad hij al eens op als moderator in de club.
Jan Jambon aan de eretafel met Le Pen en Dewinter

Jambon was geen gewone toehoorder op de conferentie van Le Pen in april 1996 maar lid van het bestuur dat de Franse fascist uitnodigde. Daarom zit Jambon hier aan de eretafel met VB-voorzitter Frank Van Hecke.

Na afloop van de spreekbeurt leiden VNDK-voorzitter Koen Dillen (rechts) en VB-voorzitter Frank Van Hecke (links) genodigde Jean-Marie Le Pen naar de eretafel. Filip Dewinter schuift mee aan.

De samenvoeging van de twee bovenstaande foto’s geven een quasi volledig beeld van de eretafel. Op de foto links zie je, onderaan in het midden naast Frank Van Hecke, nog de grijze haardos van Le Pen. Als je vanaf daar het rijtje naar links afgaat kom je terecht bij Jan Jambon.
Leugen 2 van Jambon bewezen: Kris Merckx sprak nooit op VNDK

Mail waarin Koen Dillen, voorzitter van de Vlaams-Nationale Debatklub (VNDK) van 1991 tot 2010, bevestigt dat Kris Merckx, in tegenstelling tot de bewering van Jambon, nooit voor zijn club sprak..
Hoe kwam ik aan bovenstaande mail? Daarvoor had ik geprobeerd om in de archieven van de debatclub, die berusten bij het ADCVN, een zwart-op-wit-bewijs te vinden dat ik nooit in de VNDK had gesproken. Ik kon daar vlot een volledige lijst vinden van alle sprekers van de VNDK in de eerste tien jaren (1980-1990, zie hoger). Ongetwijfeld bestaat er een gelijkaardige lijst van de periode 1990 – 2000, toen Le Pen – en volgens Jambon ook Kris Merckx – een conferentie gaven in de VNDK. Toen ik daar naar vroeg kreeg ik als antwoord dat men mij die niet kon verstrekken. Reden: dat deel van de archieven van de VNDK zou nog onder embargo staan, gedeeltelijk voor de periode van na 1990 en volledig vanaf 2000 tot 2010. Ik richtte mij dan maar naar een bekend e-mail-adres van Koen Dillen. Deze zoon van VB-stichter Karel Dillen was niet alleen Europarlementslid voor het Vlaams Belang tot in mei van dit jaar, hij was ook 20 jaar lang voorzitter van de debatclub VNDK. In de mailcorrespondentie hierboven leest u mijn vraag en, bovenaan, het duidelijke antwoord van Dillen.
Jambon-club nodigt negationist David Irving uit (1998)

In januari 1998 zegde het het Holiday Inn Hotel, na protest, de zaal af voor een conferentie van het VNDK met David Irving. Met dit bericht deelt de VNDK mee dat ze deze voor negationisme en neonazisme veroordeelde Britse ‘historicus’ perse wil laten spreken. Op een nieuwe geheim gehouden plaats en met een ‘strikt privé-karakter’.
Dat het Holiday Inn Hotel redenen te over had om gevolg te geven aan de bezwaren tegen een conferentie van een notoire negationist, racist en propagandist van het nazisme kan u lezen in dit artikel van AFF en, in het Frans, in dit artikel van RésistanceS . Onder meer hoe deze man om al deze redenen vanaf 1991 in Groot-Brittannië vervolgd en veroordeeld werd. En later, in 2004, om gelijkaardige redenen zelfs 13 weken in de gevangenis doorbracht in Oostenrijk. RésistanceS toont ook foto’s van hem als spreker en deelnemer op congressen van het Institute for Historical Review (IHR), een club die het negationisme (ontkenning van de holocaust) propageert. Op een van die foto’s zie je hem in gezelschap van de Franse holocaustontkenner Robert Faurisson.
Bart de wever treedt in 2000 toe als bestuurslid

Vier jaar nadat de VNDK Le Pen uitnodigde en nog geen twee jaar na de spreekbeurt van negationist Irving, vindt ook… drs. Bart De Wever het gepast toe te treden tot het bestuur van de debatclub.
Hier wordt Bart De Wever meteen aangekondigd als inleider van een conferentie. En nog wel boven de mededeling dat de volgende spreekbeurt zal gaan over “de verdienstelijke organisatie ‘Vrijwillige arbeidsdienst voor Vlaanderen’”. Spreker is ‘Opperveldmeester Paul Grote’ een van de leiders van deze door de collaborateurs tijdens de oorlog opgezette V.A.V.V.

De jonge Bart De Wever woonde net als Jambon in april 1996 de spreekbeurt bij van Le Pen in Salons De Boeck in Antwerpen. En liet zich na afloop graag fotograferen aan de zijde van de ‘spreker’.

Koen Dillen, van 1991 tot 2010 voorzitter van de Vlaams-Nationale Debatklub waarvan ook Jambon en Dewever bestuurslid waren, klinkt op deze foto op de gezondheid van de Waalse fascist en leider van REX, Léon Degrelle. Foto genomen in het Spaanse ballingsoord waar Degrelle tot aan zijn dood verbleef.

Merk op hoe noch Jambon, noch De Wever en uiteraard ook niet Koen Dillen, er bezwaar tegen hebben te figureren in een lijst van bestuurders waaronder altijd de overleden erevoorzitter Jan Brans vermeld wordt. Kan je duidelijker maken dat de VNDK in de lijn van diens donkerbruin gedachtegoed blijft?
Op bovenstaande facsimile zie je ook hoe de weduwe van Jan Brans, Mia Dujardin, ondervoorzitster van de VNDK bleef, tot aan de opheffing van de club in 2010.
Bij de verkiezingen van 25 mei 2014 volgde de bekende reporter Paul Jambers een hele dag Bart De Wever. Bij de terugkeer naar Antwerpen, na een hectische dag, antwoordde Bart De Wever, in zijn busje, op de vraag waarom hij dit alles deed: “Voor al die mensen die hiervoor hun leven lang gestreden hebben”.
Zolang De Wever het zelf niet uitdrukkelijk tegenspreekt, of er afstand van neemt, blijft het vermoeden overeind dat hij de mensen bedoelde die hier ‘eervol’ vermeld blijven onder de bestuurderslijst van ‘zijn’ VNDK. Dat was alvast zo tot oktober 2000. Twee maanden voor de 21ste eeuw waar we het volgens De Wever over moeten hebben.
‘JAMNESIE’
De onthulling door RésistanceS van bovenstaande documenten haalde op 3 december het journaal van RTL-tvi. Zowel om 13 u als om 19 u was dit het eerste item. Bij de herhaling van elk van zijn leugens op diezelfde zender op 12 oktober – ‘Ik ben als gewone toehoorder naar Le Pen gaan luisteren’ en ‘Kris Merckx van de extreem-linkse PVDA is een paar maanden eerder ook in die debatclub komen spreken’ – kreeg de vicepremier telkens ‘FAUX’ (‘gelogen’) dwars over zijn gezichtHier vind je de volledige reportage van RTL-tvi ‘Jan Jambon a menti sur ses liens avec l’extrême-droite’.
Gevraagd om een reactie, door de redacties van La Libre Belgique en RTL-tvi, op de onthullingen liet Jambon zijn woordvoerder antwoorden dat ‘de vicepremier zoals zovele burgers lid is van vele clubs’ En wat zijn valse beweringen over Kris Merckx betrof, die waren te wijten aan ‘un trou de mémoire’. Een gat in zijn geheugen, en dat op de leeftijd van 54 jaar én als minister van Binnenlandse Zaken. Op de sociale media leidde dit al tot vragen of er misschien een nieuwe ziekte in België is opgedoken: jamnesie…
Maar de kernvraag, die allesbehalve grappig is en die premier Michel (MR) moet beantwoorden, is: ‘Kan iemand, die flagrant liegt om zijn verleden en lidmaatschap bij extreemrechts te verbergen, vicepremier zijn van België?’. Mede door het zwijgen van het grootste deel van de Vlaamse media heeft Michel vooralsnog het antwoord hierop kunnen ontwijken.
Inmiddels heeft ook de nieuwssite Apache.be belangrijke elementen aan het dossier Jambon toegevoegd. Onder meer de getuigenis van ex-VB-Kamerlid Luc Sevenhans, nu N-VA-schepen in Brasschaat, die, uit wraak omdat hij geen burgemeester mocht worden, onthulde dat Jambon mee aan de wieg stond van het Vlaams Blok in deze gemeente.
Het lijdt geen twijfel: het hele zwarte dossier van Jambongate gaat ongetwijfeld opnieuw opduiken, ondermeer in de Kamer. Op 4 december wilden zowel de Kamerleden Raoul Hedebouw (PTB-PVDA) als Laurette Onkelinx (PS) als parlementairen van Ecolo, Groen en sp.a de premier daarover al ondervragen. Maar omdat Charles Michel zelf niet wilde antwoorden, zoals zij rechtmatig vroegen, verliet de hele oppositie, op het VB na, het halfrond.
De weken erna overheersten de dood van Fabiola en de stakingen het parlementaire vragenuurtje, maar Jambongate komt zeker volgend jaar opnieuw op tafel.






Martin Meerts said
Proficiat met je onderzoekswerk. Hopelijk draagt dit bij tot de afzetting van de neo – nazi Jambon.
Kaat Van den Bossche said
Toch allemaal erg hé en nu de sympatieke minister uithangen!!!NV-A zitten niks in met mensen zoals ik,die invalide zijn,nee ze willen nog aan mijn kleine uitkering komen!!
Marc De Beer said
Heel leerrijk
Bedankt Kris om met duidelijke bewijzen met foto aan te tonen wat voor kerel Jan is
Antoon Vandendriessche said
Contra Factum NIHIL !!!! Feiten zijn niet te weerleggen en ” What’s done can’t be undone.’ (Shakespeare)
Anoniem said
Dank u voor die mooie werk.
Jean VanHaudehuyse said
J.J. En dat wordt dan ee, van de belangrijkste (?) figuren van Vlaanderen.
Francine said
Goede documentatie. Nu nog die fascist buitenwerken.
TIEN FLATERS OP EEN RIJ VAN JAN JAMBON – Antifascista Siempre said
[…] Jan Jambon bij een lezing van Jean-Marie Le Pen in Antwerpen. Zowel La Libre Belgique als RTL-TVI (foto’s rechts) kopten dat Jan Jambon gelogen heeft over zijn betrokkenheid bij die lezing van Jean-Marie Le Pen (foto’s © archief AFF). Meer foto’s, documenten en het hele verhaal vind je op de blog van Kris Merckx. […]